Skip to primary content
Skip to secondary content

London & District Tenpin Bowling Association

Promoting our sport … Tenpin Bowling

London & District Tenpin Bowling Association

Main menu

  • About
  • Bylaws
  • News
    • CTF CONNECTION
  • Tournaments
    • 2025/2026 Tournament Dates
    • LDTBA Adult Tournaments
    • LDTBA Youth Tournaments
  • Yearbook Averages
  • Forms
  • Bowler of the Year Guidelines
  • Hall of Fame
  • Links
  • Youth Bowling Programs
  • Adult Leagues
  • Sponsorship Program
  • Contact us…

Category Archives: Tournaments

Post navigation

← Older posts

Adult Doubles Tournament 2026

Image

December 17, 2025 by ladtpba
Posted in Tournaments

Youth Doubles Tournament 2026

Image

December 17, 2025 by ladtpba
Posted in Tournaments

Adult Doubles Tournament 2025

Posted on January 9, 2025 by ladtpba

Entry Form

Posted in Adult, Adult Tournaments, Tournaments

dmac automation ltd. Youth Singles Scholarship Tournament 2024 – Official Results

Posted on May 1, 2024 by ladtpba

Results

Posted in News, Tournament Results, Tournaments, Youth, Youth Tournaments

Adult Singles Tournament 2024 – Official Results

Posted on March 16, 2024 by ladtpba

Results

Posted in Adult, Adult Tournaments, News, Tournament Results, Tournaments

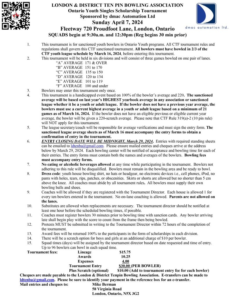
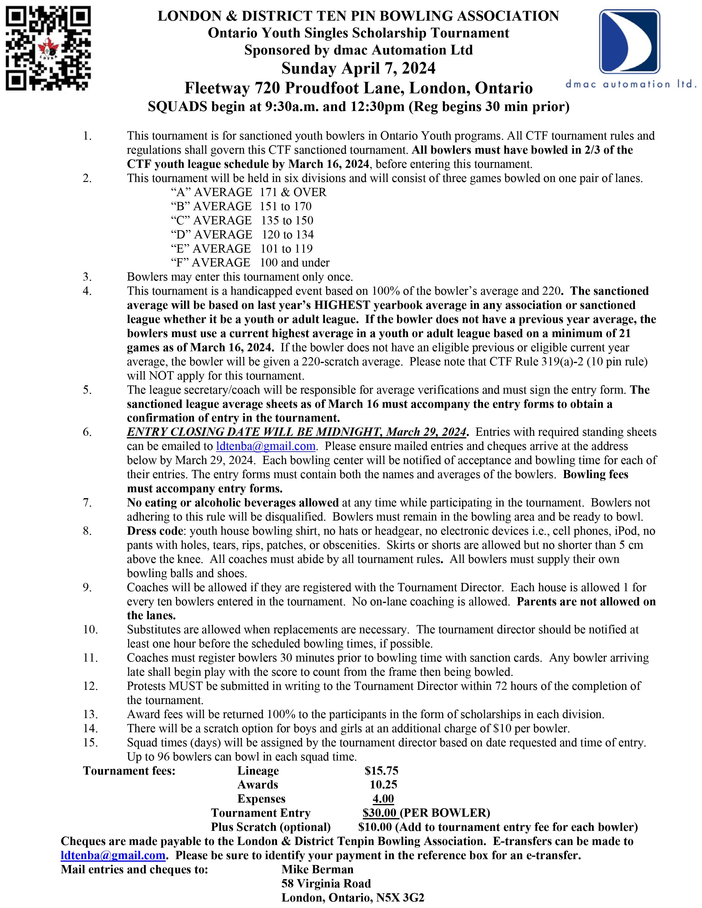
LDTBA Ontario Youth Singles Scholarship Tournament 2024

Posted on February 25, 2024 by ladtpba

Entry Form

Posted in Events, Tournaments, Youth, Youth Tournaments

Adult Singles Tournament 2024

Posted on February 18, 2024 by ladtpba

Entry Form

Posted in Adult, Adult Tournaments, Events, News, Tournaments

Adult Doubles Tournament 2024 – Official Results

Posted on February 16, 2024 by ladtpba

Results

Posted in Adult, Adult Tournaments, News, Tournament Results, Tournaments

2024 Youth Doubles Official Results

Posted on January 26, 2024 by ladtpba

Official Results

Posted in Tournament Results, Tournaments, Youth, Youth Tournaments

Adult Doubles Tournament 2024

Posted on January 5, 2024 by ladtpba

Entry Form

Posted in Adult, Adult Tournaments, Events, Tournaments

Post navigation

← Older posts

Thanks to our sponsors…

  • 2026 Annual General Meeting
  • 2026 Canadian Championships
  • Youth Singles Tournament 2026
  • Adult Singles Tournament 2026
  • Adult Doubles Tournament 2026

Pages

  • About
  • Links
  • CTF CONNECTION
  • Forms
    • Scholarship Application Form
  • Contact us…
  • Yearbook Averages
  • Sponsorship Program
  • Calendar of Events and Tournaments
  • Provincial Photos
  • Bowler of the Year Guidelines
  • Youth Bowling Programs
  • London and District Tenpin Bowling Association Bylaws
  • Hall of Fame
  • Adult Tournaments
  • Youth Tournaments
  • 2025/2026 Tournament Dates
  • Adult Leagues

Blog Stats

  • 84,248 hits
Blog at WordPress.com.
  • Subscribe Subscribed
    • London & District Tenpin Bowling Association
    • Already have a WordPress.com account? Log in now.
    • London & District Tenpin Bowling Association
    • Subscribe Subscribed
    • Sign up
    • Log in
    • Report this content
    • View site in Reader
    • Manage subscriptions
    • Collapse this bar
 

Loading Comments...