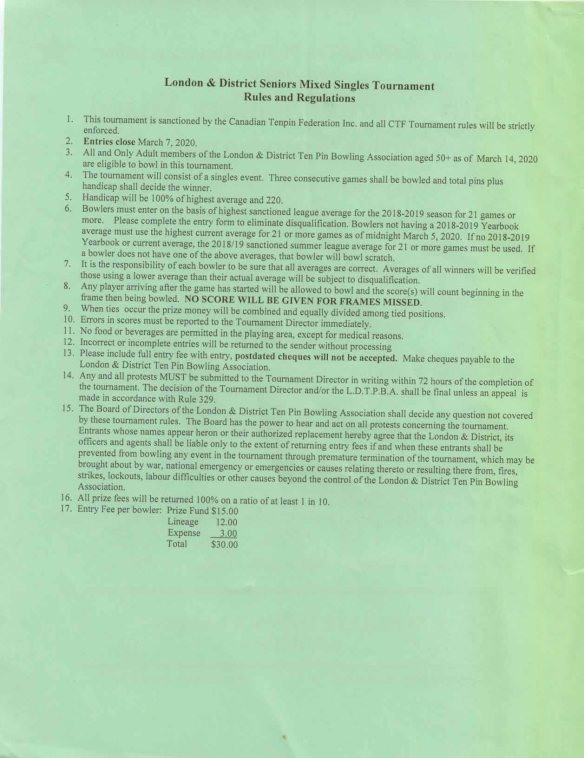
March 7, 2020 is the last day to register!
All London and District bowlers aged 50+ (as of March 14, 2020) are eligible!!
Simply fill out this Entry Form and email to ladtpba@rogers.com
Rules and Regulations below:


March 7, 2020 is the last day to register!
All London and District bowlers aged 50+ (as of March 14, 2020) are eligible!!
Simply fill out this Entry Form and email to ladtpba@rogers.com
Rules and Regulations below:

